Table 2-1. Horizontal Distance (Meters), 200 Meters (Ballistic Zone 1) (Computer Zone 1)--Continued
Table 2-1. Horizontal Distance (Meters), 500 Meters (Ballistic Zone 2) (Computer Zone 2)
Table 2-1. Horizontal Distance (Meters), 500 Meters (Ballistic Zone 2) (Computer Zone 2)--Continued
Table 2-1. Horizontal Distance (Meters), 1,000 Meters (Ballistic Zone 3) (Computer Zone 3)
Table 2-1. Horizontal Distance (Meters), 1,500 Meters (Ballistic Zone 4) (Computer Zone 4)
Table 2-1. Horizontal Distance (Meters), 2,500 Meters (Computer Zone 6)
Table 2-1. Horizontal Distance (Meters), 2,500 Meters (Computer Zone 6)--Continued
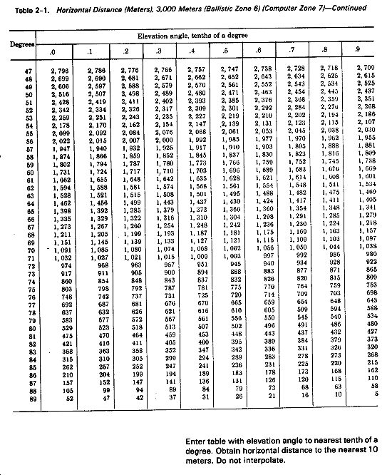
Table 2-1. Horizontal Distance (Meters), 3,000 Meters (Ballistic Zone 6) (Computer Zone 7)
Table 2-1. Horizontal Distance (Meters), 3,500 Meters (Computer Zone 8)
Table 2-1. Horizontal Distance (Meters), 3,500 Meters (Computer Zone 8)--Continued
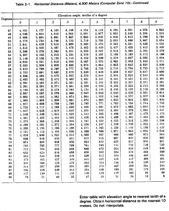
Table 2-1. Horizontal Distance (Meters), 4,500 Meters (Computer Zone 10)
Table 2-1. Horizontal Distance (Meters), 4,500 Meters (Computer Zone 10)--Continued
Table 2-1. Horizontal Distance (Meters), 5,000 Meters (Ballistic Zone 8) (Computer Zone 11)
Table 2-1. Horizontal Distance (Meters), 7,000 Meters (Computer Zone 13)
Table 2-1. Horizontal Distance (Meters), 7,000 Meters (Computer Zone 13)--Continued
Table 2-1. Horizontal Distance (Meters), 9,000 Meters (Computer Zone 15)
Table 2-1. Horizontal Distance (Meters), 9,000 Meters (Computer Zone 15)--Continued
Table 2-1. Horizontal Distance (Meters), 11,000 Meters (Computer Zone 17)
Table 2-1. Horizontal Distance (Meters), 11,000 Meters (Computer Zone 17)--Continued
Table 2-1. Horizontal Distance (Meters), 13,000 Meters (Computer Zone 19)
Table 2-1. Horizontal Distance (Meters), 13,000 Meters (Computer Zone 19)--Continued
Table 2-1. Horizontal Distance (Meters), 15,000 Meters (Computer Zone 21)
Table 2-1. Horizontal Distance (Meters), 15,000 Meters (Computer Zone 21)--Continued
Table 2-1. Horizontal Distance (Meters), 17,000 Meters (Computer Zone 23)
Table 2-1. Horizontal Distance (Meters), 17,000 Meters (Computer Zone 23)--Continued
Table 2-1. Horizontal Distance (Meters), 19,000 Meters (Computer Zone 25)
Table 2-1. Horizontal Distance (Meters), 19,000 Meters (Computer Zone 25)--Continued
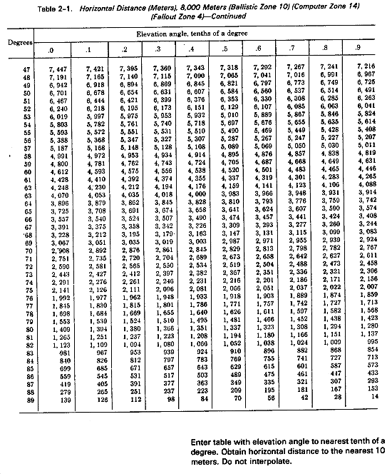
Table 2-1. Horizontal Distance (Meters), 20,000 Meters (Computer Zone 26) (Fallout Zone 10)
Table 2-1. Horizontal Distance (Meters), 22,000 Meters (Fallout Zone 11)
Table 2-1. Horizontal Distance (Meters), 22,000 Meters (Fallout Zone 11)--Continued
Table 2-1. Horizontal Distance (Meters), 24,000 Meters (Fallout Zone 12)
Table 2-1. Horizontal Distance (Meters), 24,000 Meters (Fallout Zone 12)--Continued
Table 2-1. Horizontal Distance (Meters), 26,000 Meters (Fallout Zone 13)
Table 2-1. Horizontal Distance (Meters), 26,000 Meters (Fallout Zone 13)--Continued
Table 2-1. Horizontal Distance (Meters), 28,000 Meters (Fallout Zone 14)
Table 2-1. Horizontal Distance (Meters), 28,000 Meters (Fallout Zone 14)--Continued
Table 2-1. Horizontal Distance (Meters), 30,000 Meters (Fallout Zone 15)
Table 2-1. Horizontal Distance (Meters), 30,000 Meters (Fallout Zone 15)--Continued
|
NEWSLETTER
|
| Join the GlobalSecurity.org mailing list |
|
|
|

